• Предмет: Математика
  • Автор: kozinnikita2018
  • Вопрос задан 3 года назад

ДАМ 70 БАЛЛОВ, решите, пожалуйста, 2 дробных выражения.

Приложения:

Ответы

Ответ дал: iramazurk
1

Пошаговое объяснение:

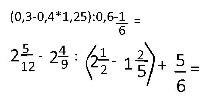
№1

1) 0,4 * 1,25 = 0,5

2) 0,3 - 0,5 = -0,2

3) -0,2 : 0,6 = -2/10 : 6/10 = -2/10 * 10/6 = -2/6

4) -2/6 - 1/6 = -3/6 = -1/2

№2

1) 2 1/2 - 1 2/5 = 2 5/10 - 1 4/10 = 1 1/10

2) 2 4/9 : 1 1/10 = 22/9 : 11/10 = 22/9 * 10/11 = 2/9 * 10/1 = 20/9 = 2 2/9

3) 2 5/12 - 2 2/9 = 2 15/36 - 2 8/36 = 7/36

4) 7/36 + 5/6 = 7/36 + 30/36 = 37/36 = 1 1/36

Вас заинтересует