• Предмет: Математика
  • Автор: tvvttvtvtvvtv
  • Вопрос задан 3 года назад

помогите пожалуйста задание сделать пожалуйста помогите❗треба виконати з методом підстановки ❕❗​

Приложения:

Ответы

Ответ дал: ludmilaksenija2005
0

Пошаговое объяснение:

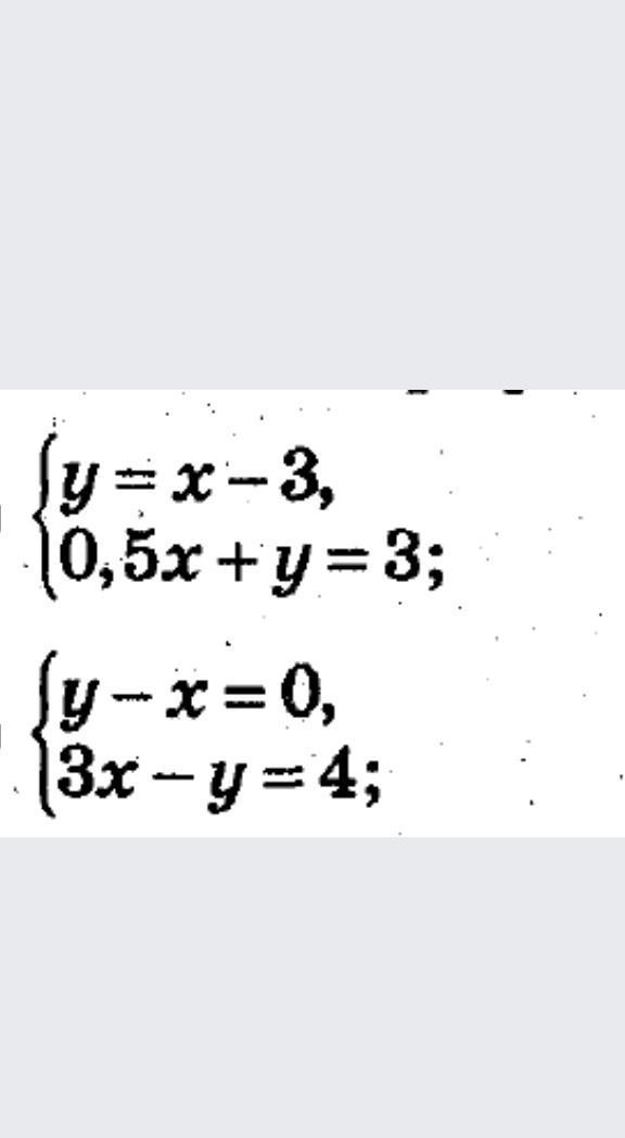
{у=х-3

{0,5х+у=3

0,5х+х-3=3

1,5х=3+3

1,5х=6

х=6:1,5

х=4

у=4-3

у=1

ответ: (4;1)

{у- х=0 у=х

{3х-у=4

3х-х=4

2х=4

х=4:2

х=2

у-2=0

у=2

ответ: (2;2)


tvvttvtvtvvtv: вибачте не так написала треба метод додавання
Вас заинтересует