• Предмет: Алгебра
  • Автор: yaroslavkalinin2023
  • Вопрос задан 3 года назад

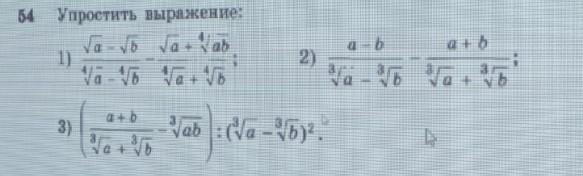
Упростите выражение по математике 10 класс

Приложения:

Ответы

Ответ дал: manyny06
0

Ответ:

решение смотри на фотографии

Приложения:

yaroslavkalinin2023: спс
Вас заинтересует