• Предмет: Математика
  • Автор: cyyccycyycyyc
  • Вопрос задан 3 года назад

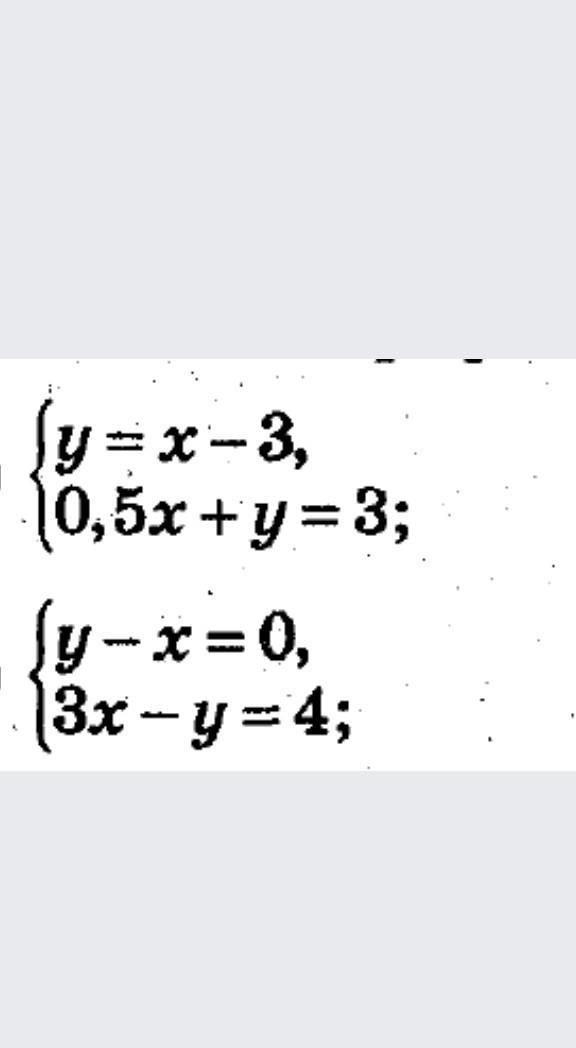
метод додавання помните пожалуйста ​

Приложения:

Ответы

Ответ дал: yevheniiavz
0

дивіться фото................................

Приложения:
Вас заинтересует