• Предмет: Физика
  • Автор: Аноним
  • Вопрос задан 3 года назад

ВООПРОС НА ФОТО СРОЧНО ДАЮ 100 БАЛОВ​

Приложения:

Ответы

Ответ дал: fatt52
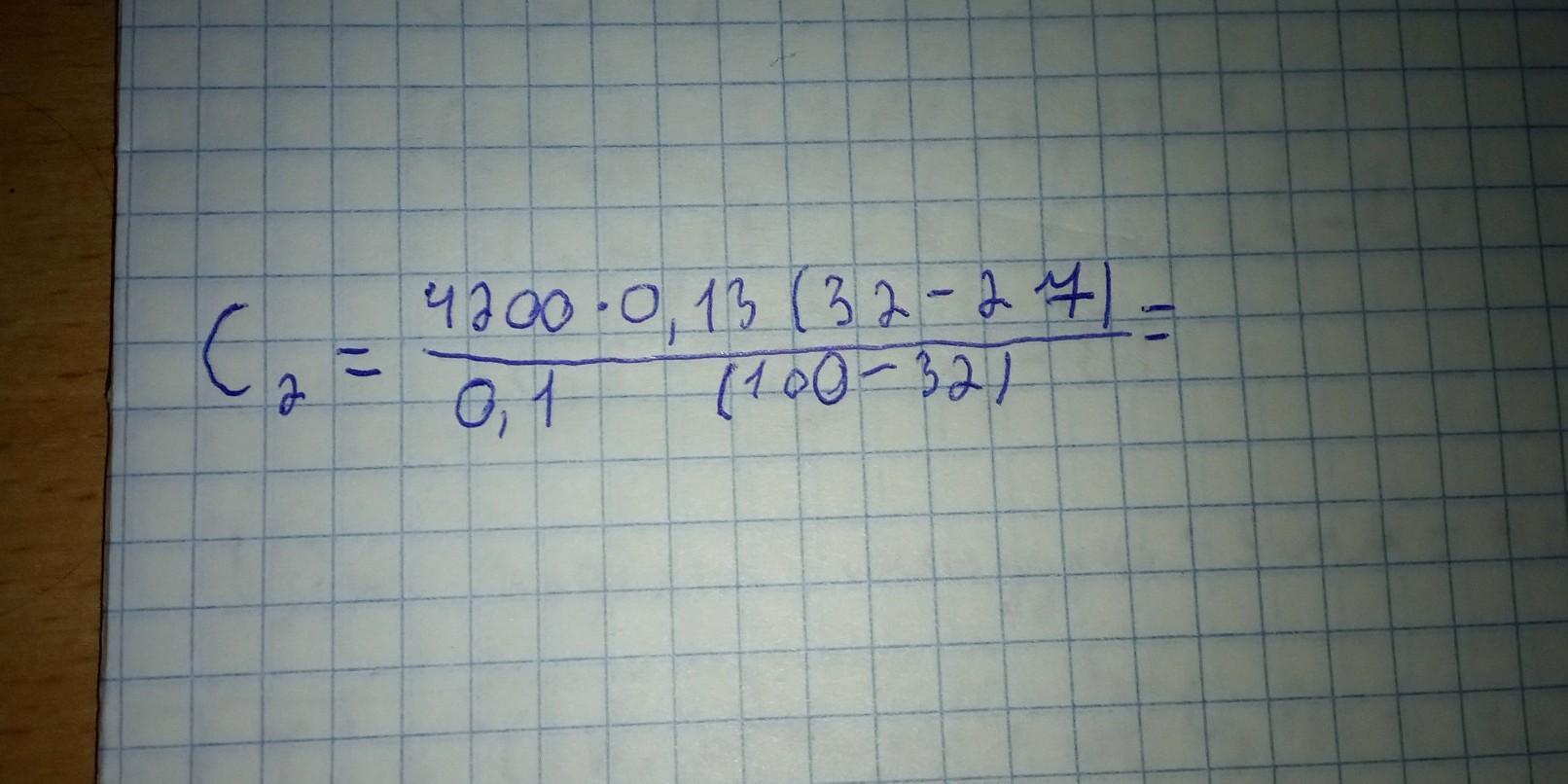
2

Ответ:

≈400 Дж/(кг*С)

Объяснение:

с=4200*0,13*(32-27)/(0,1*(100-32))=401 Дж/(кг*С)

=============================

Вас заинтересует