• Предмет: Геометрия
  • Автор: kira401
  • Вопрос задан 3 года назад

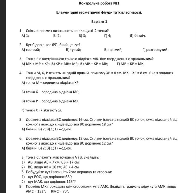
40 балов! на фото просто тест . прошу помогите

Приложения:

Ответы

Ответ дал: sytnikovaoleksandra0
1

....................

Приложения:
Вас заинтересует