• Предмет: Физика
  • Автор: Tapitosha
  • Вопрос задан 3 года назад

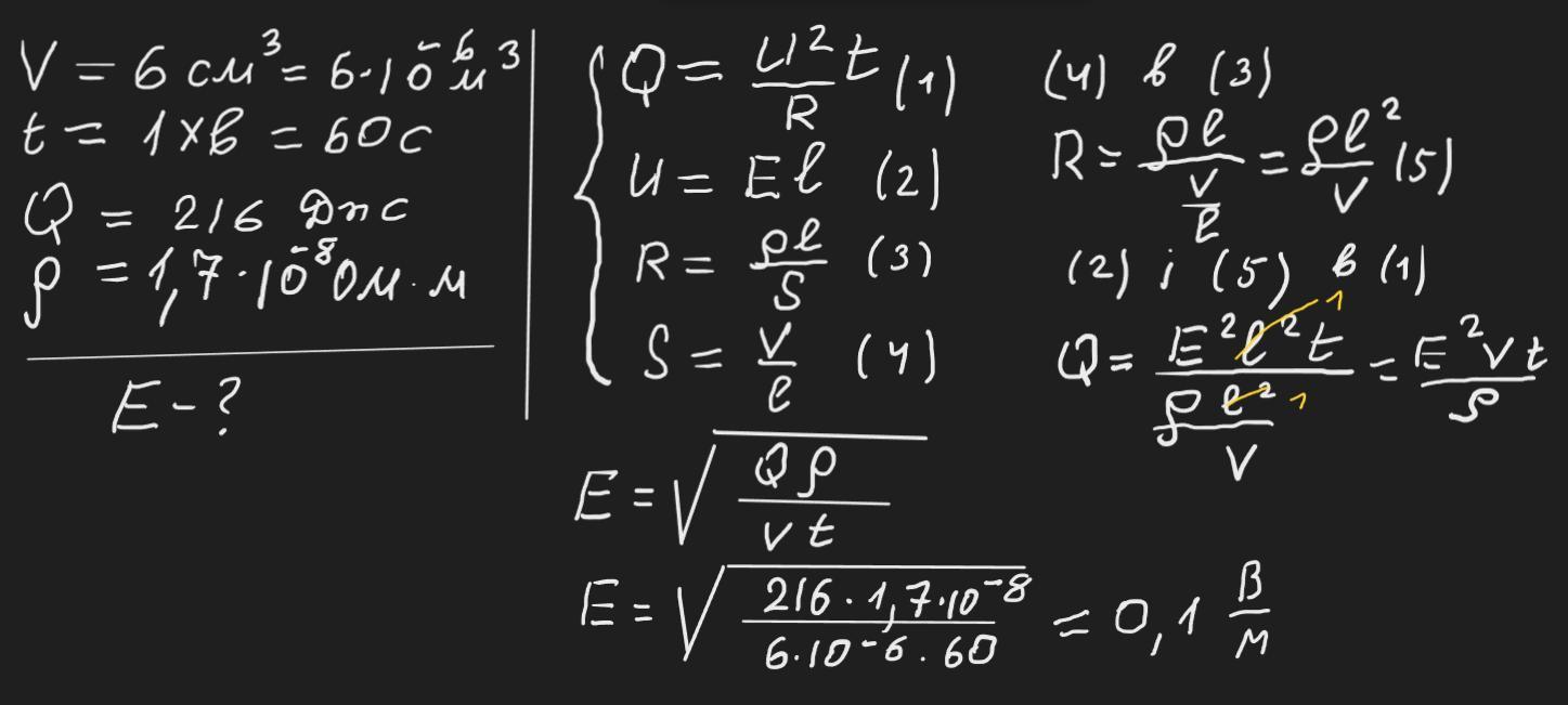
У мідному провіднику об’ємом 6 см3 під час проходження по ньому постійного струму за 1 хв виділилося 216 Дж теплоти. Обчисліть напруженість електричного поля в провіднику.​

Ответы

Ответ дал: zybkov1950
5

Відповідь: 0,1 В/м

Пояснення:

Приложения:

Tapitosha: спасибо
Вас заинтересует