• Предмет: Физика
  • Автор: nonnabojko301
  • Вопрос задан 3 года назад

ДАЮ 55 БАЛЛОВ

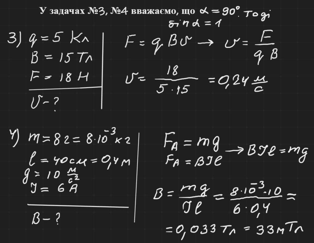
3) Яка швидкість частинки з зарядом 5 Кл, якщо в полі індукцією 15 Тл на неї діє сила 18 Н?

4)знайти індукцію провідника масою 8 г і довжиною 40 см, якщо він висить в полі при струмі 6 А?

Ответы

Ответ дал: zybkov1950
1

Відповідь: Див. додаток

Пояснення:

Приложения:
Вас заинтересует