• Предмет: Математика
  • Автор: ivanlovalenko6
  • Вопрос задан 3 года назад

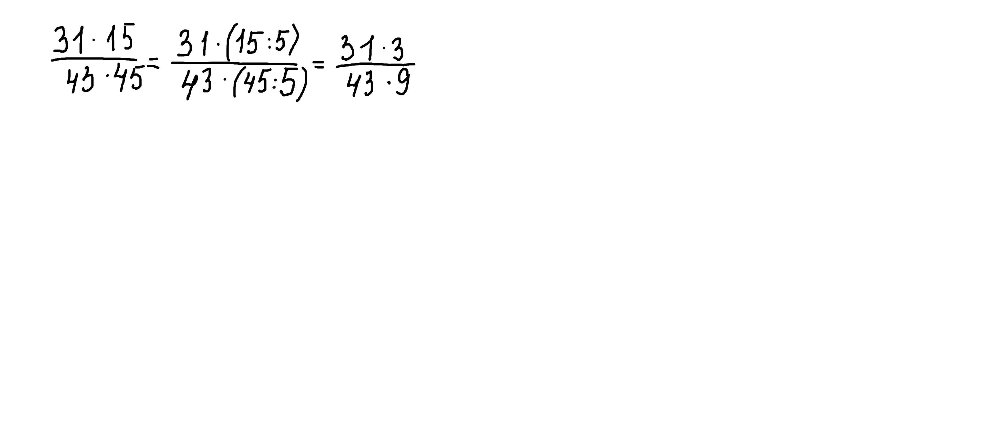
скороти дріб на 5 31*15/43*45​

Ответы

Ответ дал: dawamyravskalgmaicom
1

Пошаговое объяснение:

вроде так,как минимум ответ.

Приложения:
Ответ дал: parus77
0

Ответ:

Пошаговое объяснение:

решение внизу,но дробь еще можно сократить на 3

Приложения:
Вас заинтересует