Ответы
Ответ:
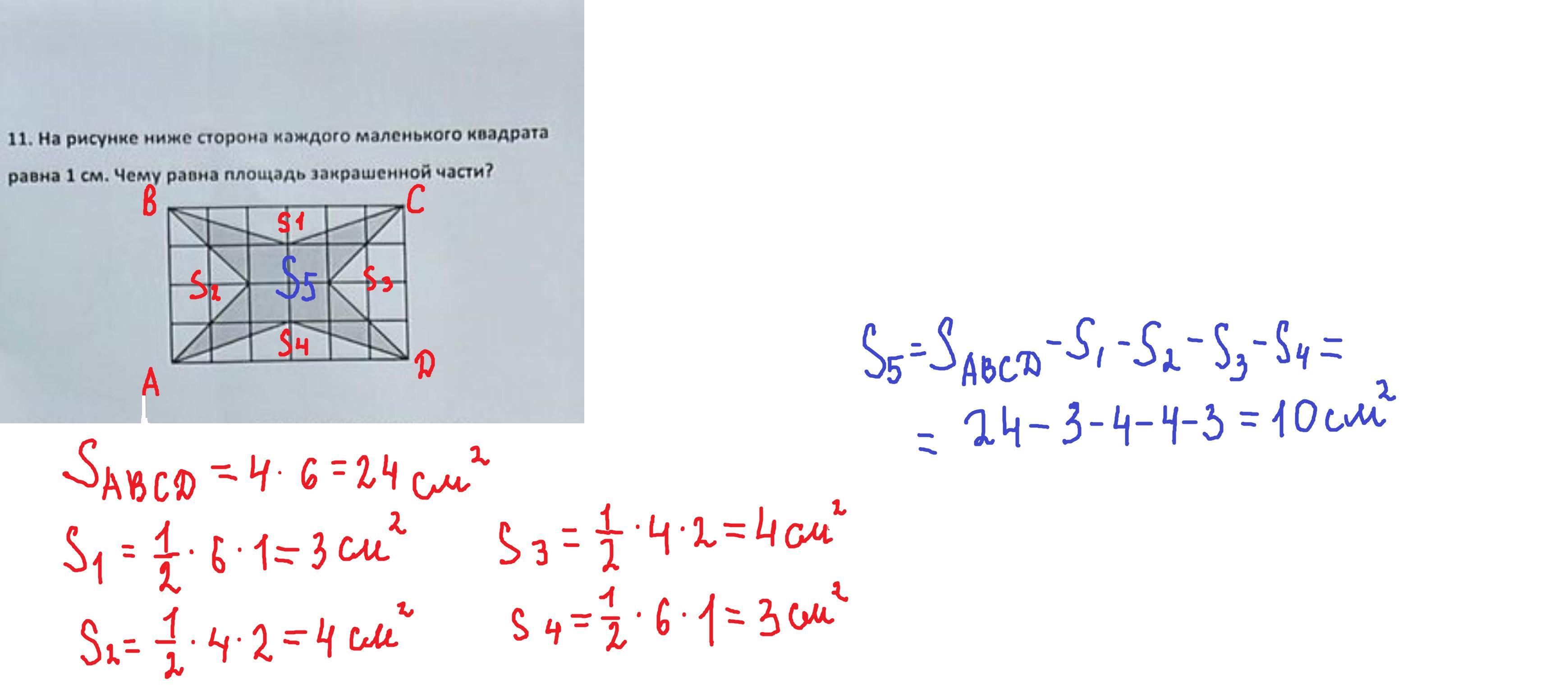
10 см²
Пошаговое объяснение:
Я предпочетаю делить рисунок на части (как на фото)
Необходимые формулы:
S=a×b (Формула прямоугольника)
S=(a×b)/2 (формуло прямоугольного треугольника)
S=S1+S2+S3+...+Sn (Формуло нохождение площади с помощью частей этой фигуры)
Длина прямоугольника: 6 см
Ширина прямоугольника: 4 см
S(общий)=6×4=24 см²
S1=(2×2)/2=4/2=2см²
S2=(2×2)/2=4/2=2см²
S3=(2×2)/2=4/2=2см²
S4=(2×2)/2=4/2=2см²
S5=(1×2)/2=3/2=1,5см²
S6=(1×2)/2=3/2=1,5см²
S7=(1×2)/2=3/2=1,5см²
S8=(1×2)/2=3/2=1,5см²
S=S1+S2+S3+S4+S5+S6+S7+S8=2+2+2+2+
+1,5+1,5+1,5+1,5=8+6=14 см² (это площадь не закрашенной фигуры)
Для того что бы найти площадь закрашенной фигуры мы должны вычитать из обьшего тот не закрашенный область!
S=S(общий)-S=24-14=10 см²

Ответ:
площадь закрашенной части равна 10см²
Пошаговое объяснение:
найдем площади маленьких треугольников,по формуле S=1/2ah
cчитаем по клеточкам и находим их площадь.Находим площадь прямоугольника по клеточкам и по формуле S=ab =4*6=24см².
Чтобы найти площадь закрашенной части надо от площади прямоугольника отнять площади маленьких треугольников с площадями S1,S2,S3 и S4.
