• Предмет: Алгебра
  • Автор: raskinsasa06
  • Вопрос задан 3 года назад

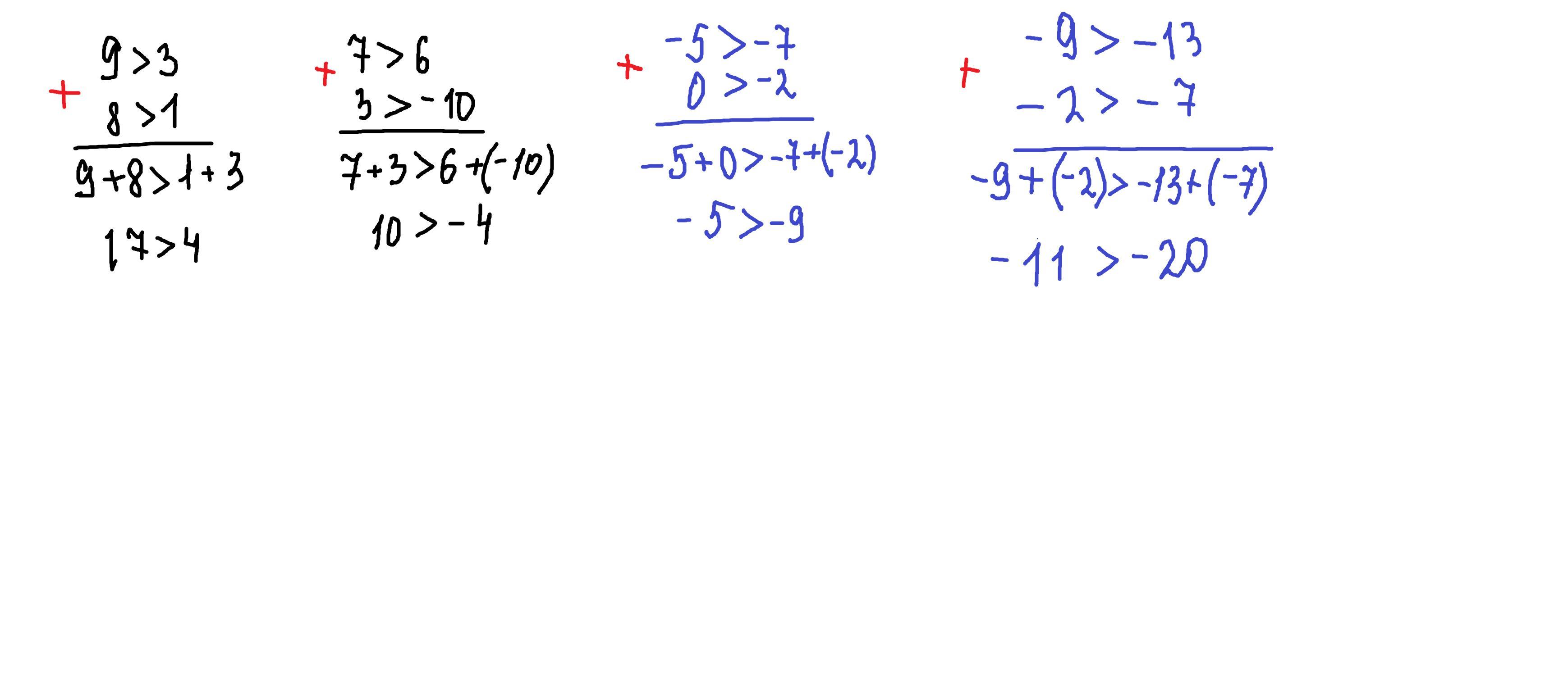
Домашнє завдання 1. Додайте нерівності: 1) 9 > 3 i 8 > 1 2) 7> 6 i 3 > -10 3)-5 > -7 i 0>-2 4) -9> -13 i -2>-7​

Ответы

Ответ дал: parus77
1

Ответ:

Объяснение:

решение внизу

Приложения:
Вас заинтересует