• Предмет: Алгебра
  • Автор: katrixx53
  • Вопрос задан 3 года назад

1/3х=12 розв'яжіть рівняння ​

Ответы

Ответ дал: shvaika56
0

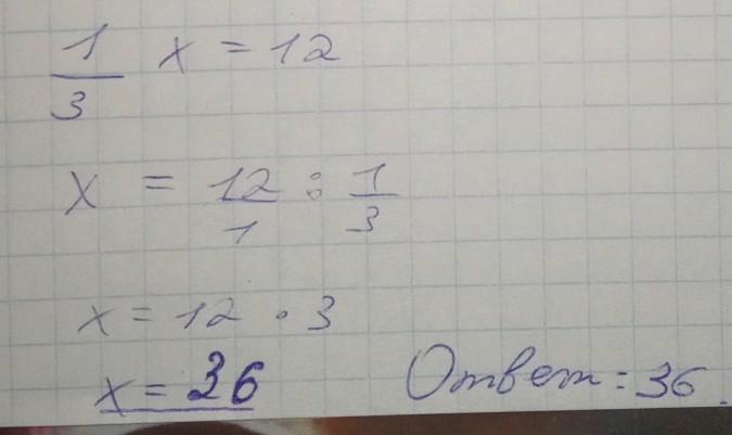
Ответ:

1/3x = 12

x = 12/ 1/3 = 12x3 = 36

Объяснение:

Ответ дал: Мозгокошка
0

Не совсем понятна запись, поэтому сделала оба варианта.Выберите то решение,которое соответствует условию вашей задачи

Надеюсь помогла)удачи)

Приложения:

Аноним: Здравствуйте! Помогите мне пожалуйста, умоляю, всего один пример..
Вас заинтересует