• Предмет: Физика
  • Автор: Vladagarmashlove
  • Вопрос задан 3 года назад

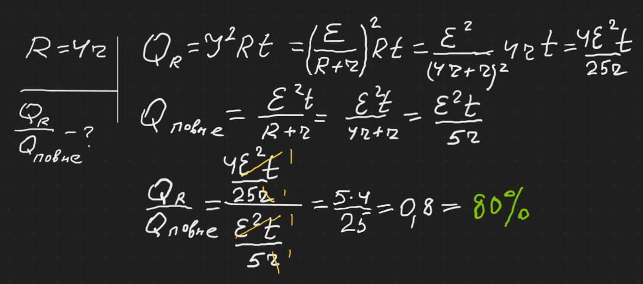
До джерела струму підключили резистор, опір якого в 4 рази більший за внутрішній опір джерела. На резисторі виділилася певна кількість теплоти. Визначте, яку частку у відсотках вона становить від загальної кількості теплоти, що виділилася в електричному колі.

Якщо можна, то с поясненням

Ответы

Ответ дал: zybkov1950
1

Відповідь: 80 %

Пояснення:

Приложения:
Вас заинтересует