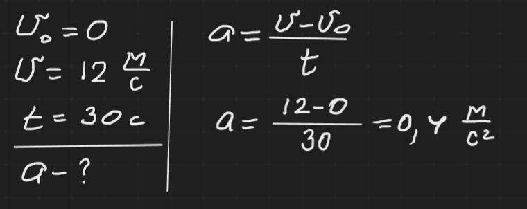
50б. Автобус, що відходить від зупинки, набирає шкидкості 12 м/с за 30 с. З яким прискоренням він рухається? Напишіть з формулами, розв‘язком і умовою, будь ласка!
Ответы
                                            Ответ дал: 
                                                                                    
                                        
                                            
                                                
                                                
                                                
                                                    2
                                                
                                            
                                        
                                    Відповідь: 0,4 м/с²
Пояснення:
Приложения:
                     
                            Вас заинтересует
                
                        2 года назад
                    
                
                        2 года назад
                    
                
                        2 года назад
                    
                
                        2 года назад
                    
                
                        7 лет назад
                    
                
                        7 лет назад
                    
                
                        9 лет назад