• Предмет: Математика
  • Автор: ilia101starkov
  • Вопрос задан 3 года назад

помогите пожалуйста с 5 заданием​

Приложения:

Ответы

Ответ дал: romaniukviktoriya4
0
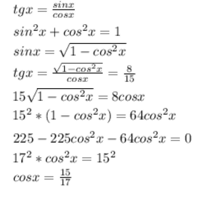
  • Т.к. угол острый, значит лежит в 1 четверти, где косинус и синус положительные.
Приложения:
Вас заинтересует