• Предмет: Алгебра
  • Автор: sofia2560
  • Вопрос задан 3 года назад

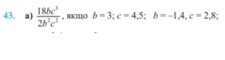
ПОМОГИТЕ ПОЖАЛУЙСТА ДАЮ 100 БАЛОВ !!!

Приложения:

Ответы

Ответ дал: bermetjalilova0
1

Объяснение:

всё на картинке , там всё понятно написано

Приложения:
Вас заинтересует