Ответы
Ответ дал:
0
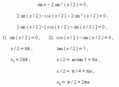
Уравнения такого вида решаются путем применения формул половинного аргумента:
Приложения:

Ответ дал:
0
sin x + cos x – 1 = 0
Приложения:

Вас заинтересует
2 года назад
8 лет назад
8 лет назад
10 лет назад
10 лет назад