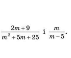
Подайте данні дроби у вигляді дробі з однаковими знаменниками
БУДЬ ЛАСКА
ДАЮ 40 БАЛІВ ЯКЩО ЗАРАЗ ВИКОНАЄТЕ
Приложения:

Ответы
Ответ дал:
1
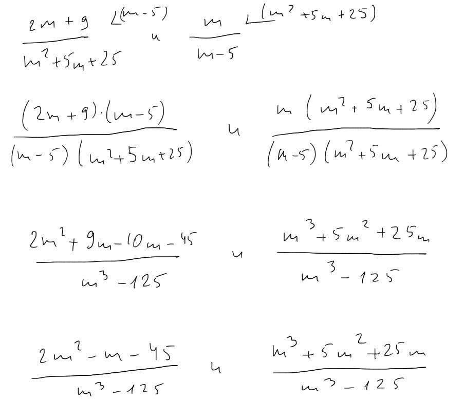
Ответ:
типа того
Объяснение:
Приложения:

Вас заинтересует
2 года назад
2 года назад
2 года назад
2 года назад
9 лет назад