• Предмет: Алгебра
  • Автор: PrinFFS
  • Вопрос задан 3 года назад

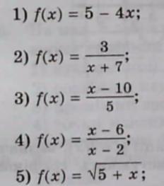
Знайти область визначення функції
50 баллов

Приложения:

Ответы

Ответ дал: krasnodovicvika
1

Объяснение:

.......................................

Приложения:
Вас заинтересует