• Предмет: Алгебра
  • Автор: Amina2299
  • Вопрос задан 3 года назад

помогмте пожалуйста по алгебре сор 1 четверть !!!

Приложения:

Ответы

Ответ дал: parus77
2

Ответ:

Объяснение:

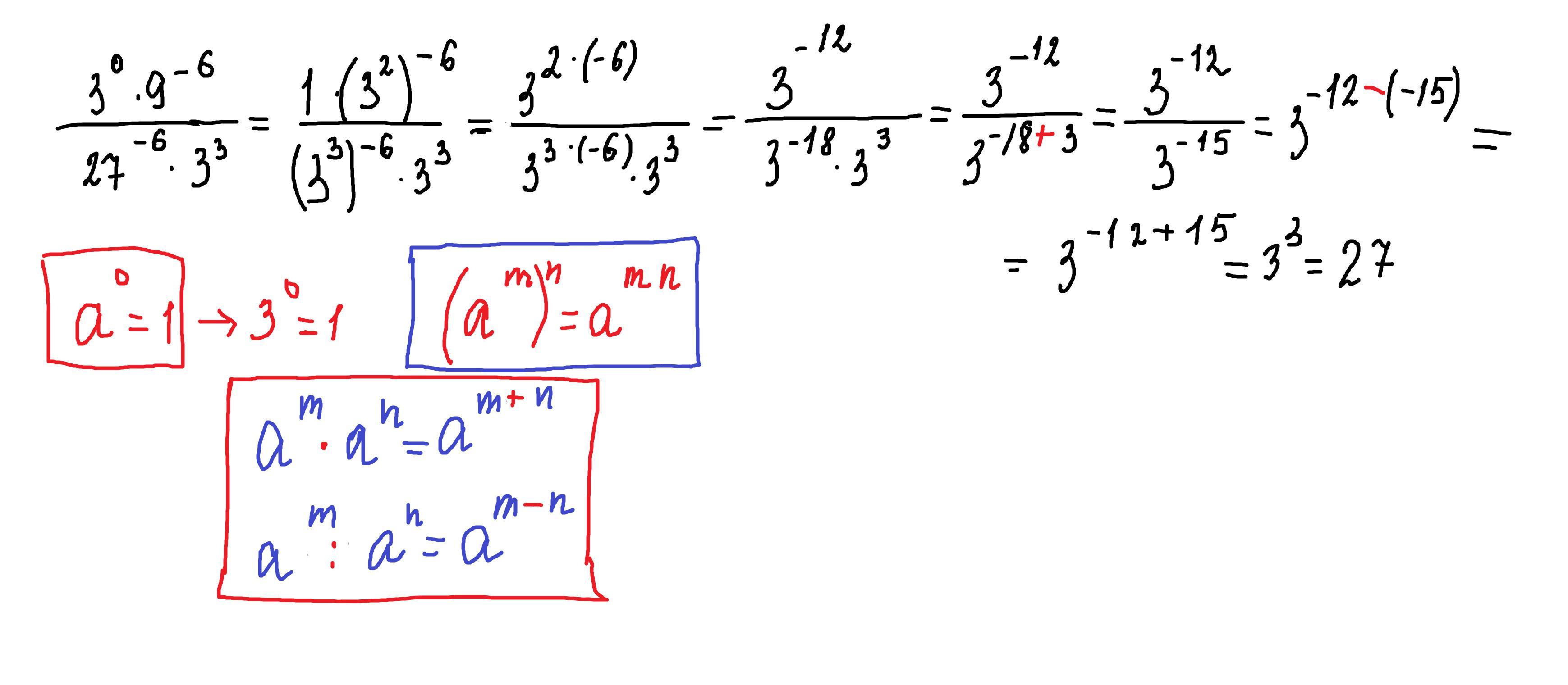
решение и формулы внизу

9=3²     27=3³

Приложения:

Amina2299: спасибо большое)
Amina2299: а вы сможете ответить на пятое задание?
Вас заинтересует