Ответы
Ответ дал:
1
Ответ:
Объяснение:
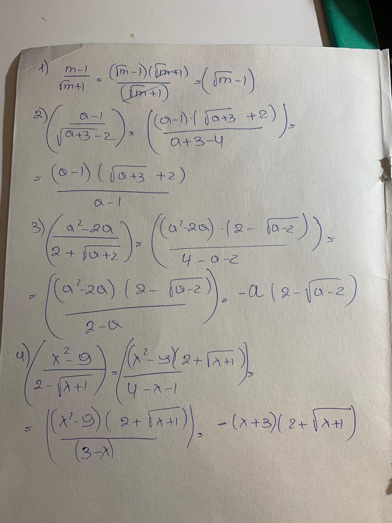
решение на картинке)
Приложения:

faniamidziya:
во 2 можно сократить числитель и знаменатель на (a-1) еще
Вас заинтересует
2 года назад
2 года назад
2 года назад
7 лет назад
9 лет назад
9 лет назад