• Предмет: Алгебра
  • Автор: caroline91
  • Вопрос задан 3 года назад

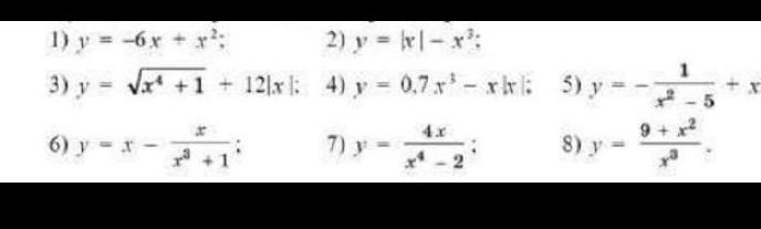
Определить какая здесь чётная какая нечётная функция
пожалуйста очень срочно нужно помогите пожалуйста решить задачу

Приложения:

Ответы

Ответ дал: faniamidziya
0

Ответ:

Объяснение:просто подставляй в функцию вместо x значение -x. если функция примет такой же вид, что при x.следовательно она будет четной, в другом случае нечетной

Вас заинтересует