Ответы
Ответ дал:
2
Ответ:
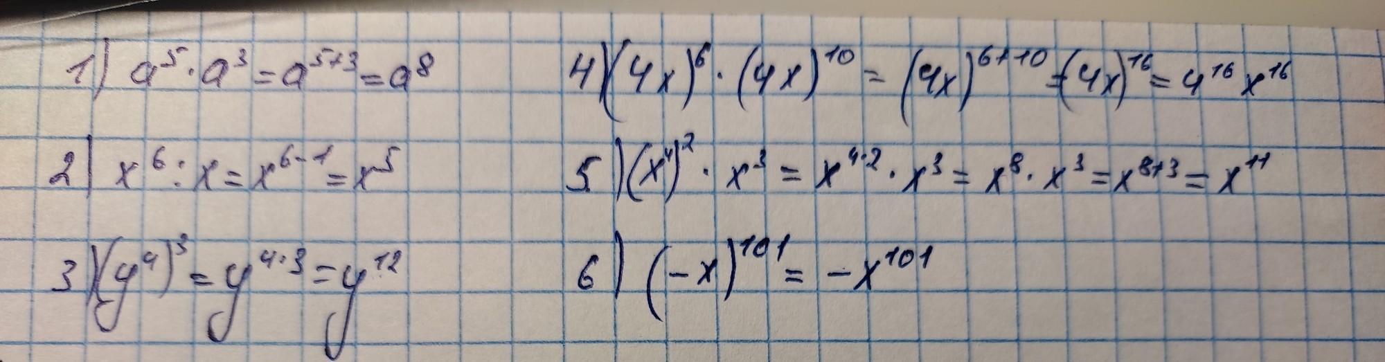
1)a^5•a³=a^8
2)x^6:x=x^5
3)(y^4)³=y^12
4)(4x)^6•(4x)^10=4^16x^16
5)(x^4)²•x³=x^8•x³=x^11
6)(-x)^101=-x^101
kimkarina953:
Добрый день. Не могли бы мне помочь с алгеброй пожалуйста умоляюю
Ответ дал:
2
Ответ:
смотри на фото (надеюсь все понятно)
Приложения:

Вас заинтересует
2 года назад
2 года назад
2 года назад
2 года назад
7 лет назад
9 лет назад