• Предмет: Алгебра
  • Автор: chernikitos2000
  • Вопрос задан 3 года назад

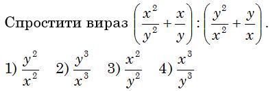
Спрости вираз (фото)

Приложения:

Ответы

Ответ дал: sashka02042007
1

Ответ:

4) х^3/у^3

Объяснение

Вас заинтересует