• Предмет: Алгебра
  • Автор: Valler1
  • Вопрос задан 3 года назад

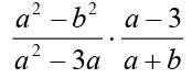
подайте вираз у вигляді дробу срочноооооооооооооооо

Приложения:

Ответы

Ответ дал: terkaqqq
1
Відповідь на фото ————->
Приложения:
Вас заинтересует