• Предмет: Физика
  • Автор: nastahsyk
  • Вопрос задан 3 года назад

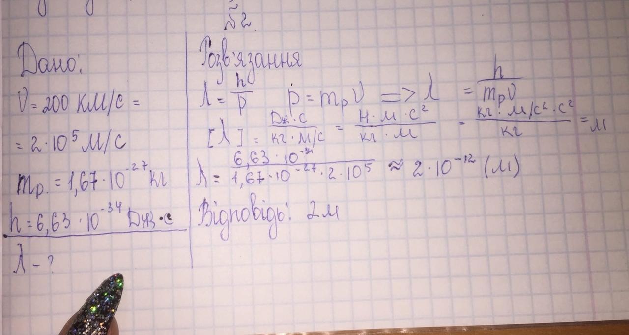
Протон рухається зі швидкістю 1,99•10 7 км/с. Визначте довжину відповідної хвилі де Бройля.

Ответы

Ответ дал: ab3003683
0

Відповідь:

Кожній рухомій частинці відповідає певна хвиля- хвиля де Бройля:

Пояснення:

Приложения:
Вас заинтересует