• Предмет: Физика
  • Автор: Shashasha00
  • Вопрос задан 3 года назад

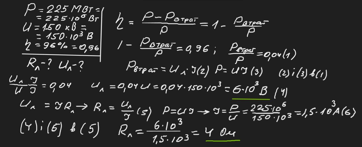
2) Лінією електропередачі передається потужність 225 МВт під напругою 150кВ . Визначити опір лінії і втрати на ній напруги якщо ККД лінії 96%​

Ответы

Ответ дал: zybkov1950
5

Відповідь: 4 Ом       6 кВ

Пояснення:

Приложения:
Вас заинтересует