• Предмет: Алгебра
  • Автор: mslenk91
  • Вопрос задан 3 года назад

Помогите пожалуйста, буду очень благодарна

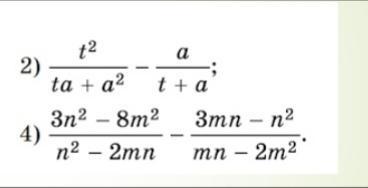
спростити вирази

Приложения:

Ответы

Ответ дал: 1096m2007
0

Ответ:

(t-a)/2

Объяснение:

t^2/ta+a^2 — a/t+a= t^2/a(t+a) — a/t+a == t^2-a^2/a(t+a) == (t+a)(t-a)/a(t+a) == t-a/a

До четвертого відповіді не знаю

Вас заинтересует