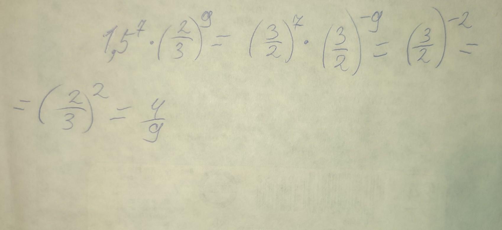
1,5⁷×(2/3)⁹ можна ще будь ласка пояснення як обчислювати вирази зі степенями де різні основи і різні показники?
Ответы
Ответ дал:
1
Ответ:
Решение и объяснение на фото:
Приложения:

Вас заинтересует
2 года назад
2 года назад
7 лет назад
7 лет назад
9 лет назад