Три класи змагалися, хто більше прочитас напам'ять пр украïнських поетів. 3-А клас прочитав 18 віршів, 3-Б - на 3 вірш менше, а 3-B - на 5 вiршi бiльше, нiж 3-Б клас Скільки всього в р шiв було прочитано?
Ответы
Ответ дал:
1
53 усього було прочитано віршів
3А-18
3Б-на3меньше⤴️
3В-на 5більше⤴️
1. 18-3=15
2.15+5=20
3. 18+15+20=53
Відповідь: 53 вірші прочитали всі класи разом
3А-18
3Б-на3меньше⤴️
3В-на 5більше⤴️
1. 18-3=15
2.15+5=20
3. 18+15+20=53
Відповідь: 53 вірші прочитали всі класи разом
Ответ дал:
0
Ответ:
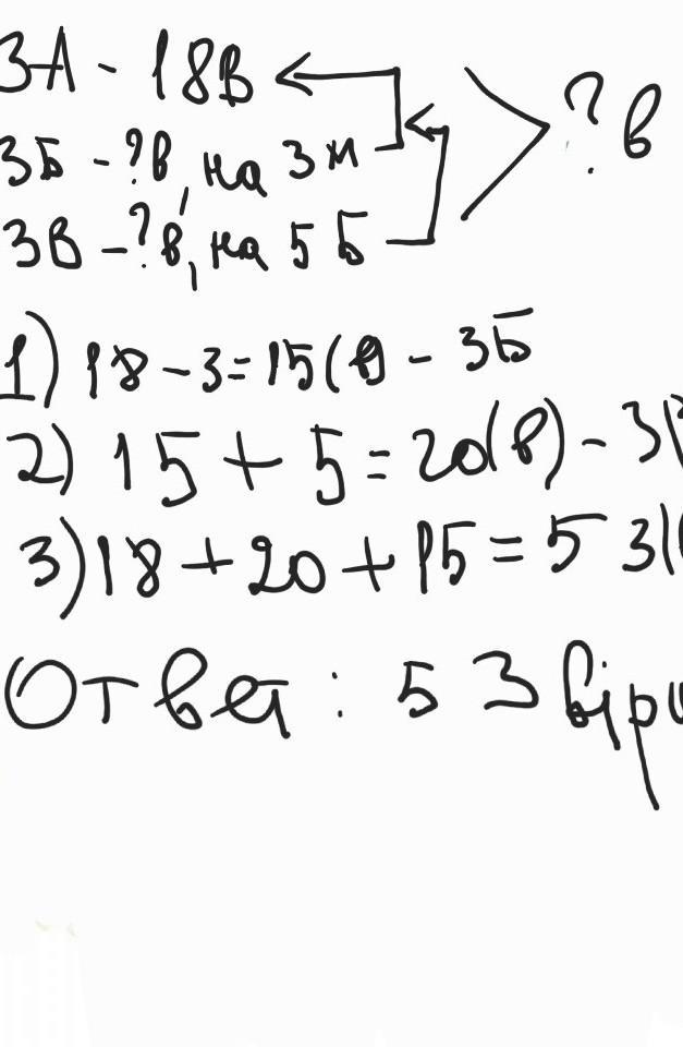
3А - 18 в
3Б - ?, на 3 в меньше
3В - ? , на 5 в більше
1) 18-3=15(в) - 3Б
2) 15+5=20(в) - 3В
3) 18+20+15=53( в)
Ответ: 53 віршів
Приложения:

Вас заинтересует
2 года назад
2 года назад
2 года назад
7 лет назад