Ответы
Ответ дал:
1
Ответ:
Объяснение:
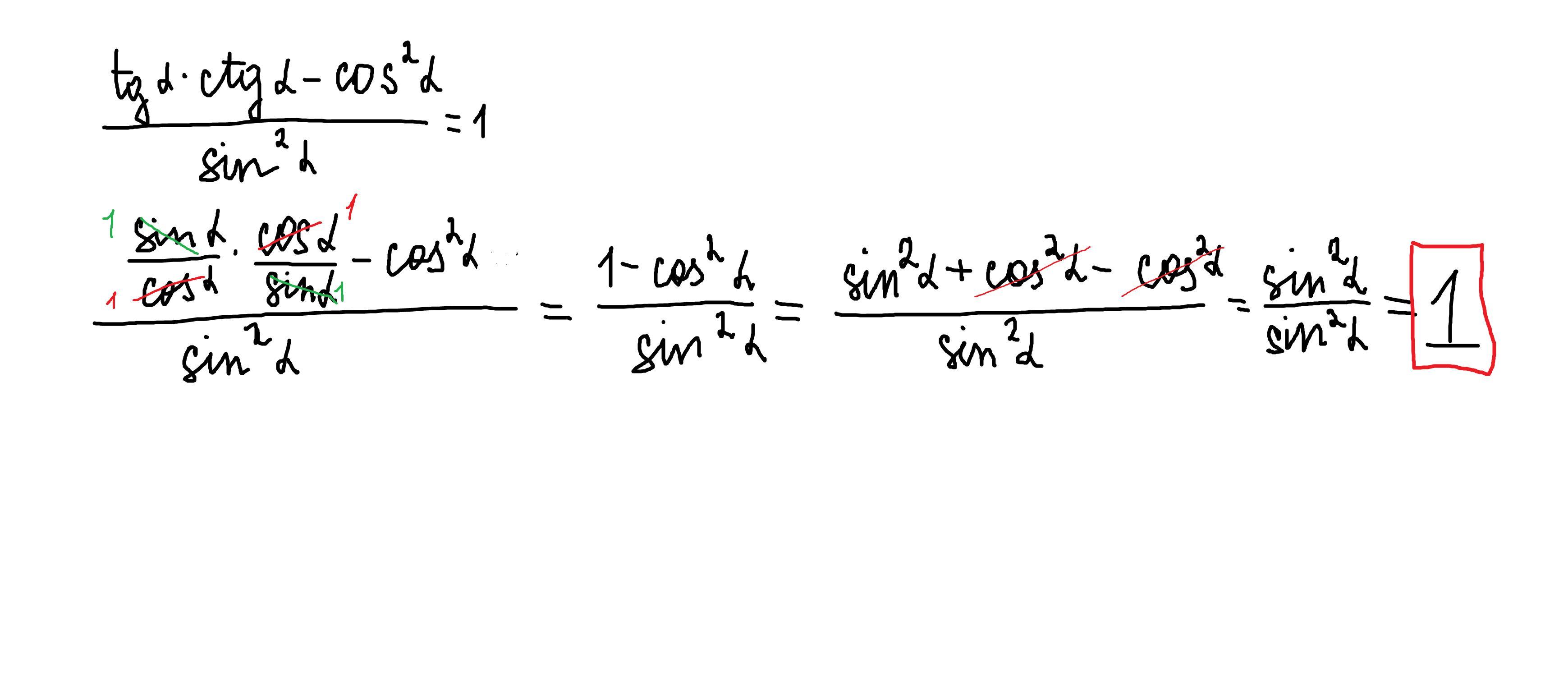
решение 3 задания внизу
1=sin²α +cos²α tgα=sinα/cosα ctgα=cosα/sinα
Приложения:

Вас заинтересует
2 года назад
2 года назад
2 года назад
2 года назад
7 лет назад
7 лет назад
9 лет назад