• Предмет: Алгебра
  • Автор: adrianatarasenko
  • Вопрос задан 3 года назад

найдите пожалуйста. решение развернутое нужно

Приложения:

Ответы

Ответ дал: ponkekcheburek
0

Ответ: 29

Объяснение:

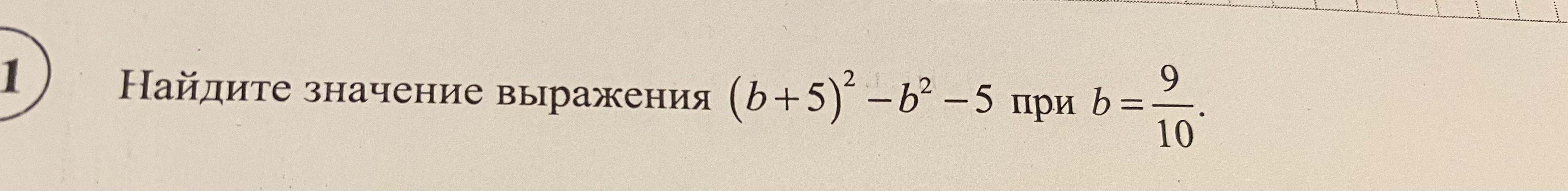
(б+5)2 - б2 - 5  при б = 9/10   (2 это в квадрате)

(9/10+5)2 - 9/10 2 - 5, сводим слагаемые общему знаменателю

(9/10+50/10) 2 - 9/10 2 - 5

5,9 2 - 0,9 2 - 5, - 5,9 умножаем на 5,9 и 0,9 на 0,9

34,81 - 0,81 - 5

34 -5

29

Вас заинтересует