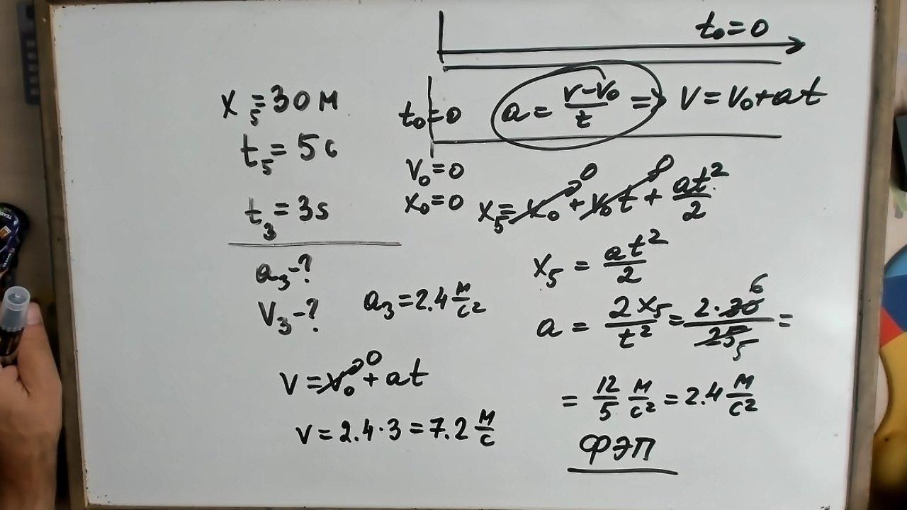
Тело, трогаясь с места, прошло 30 м. за 5 с. Определить ускорение тела, а также скорость 3 с. с момента движения
15 баллов
Ответы
Ответ дал:
0
Отfghuj
Объяснение:
jhjghui7hyuiyu
Приложения:

Вас заинтересует
2 года назад
2 года назад
7 лет назад
9 лет назад