ОЧЕНЬ НУЖНА ПОМОЩЬ, 50 БАЛОВ
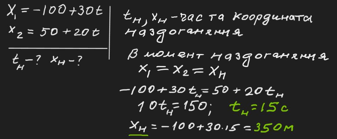
Два тіла рухаються вздовж осі OX. Рівняння залежностей їх координат від часу спостереження мають вигляд: x1 = −100 + 30t ; x2 = 50 + 20t . Знайдіть, через який інтервал часу перше тіло дожене друге, і визначте координату точки, в якій ця подія відбудеться.
t = 5 с; y = 50 м
t = 15 с; y = 350 м
t = 3 с; y = −10 м
t = 1 с; y = 70 м
Ответы
Ответ дал:
1
Відповідь: t = 15 с; y = 350 м
Пояснення:
Приложения:

Вас заинтересует
2 года назад
2 года назад
2 года назад
2 года назад
7 лет назад
7 лет назад
9 лет назад
9 лет назад