• Предмет: Физика
  • Автор: pollyweeq
  • Вопрос задан 3 года назад


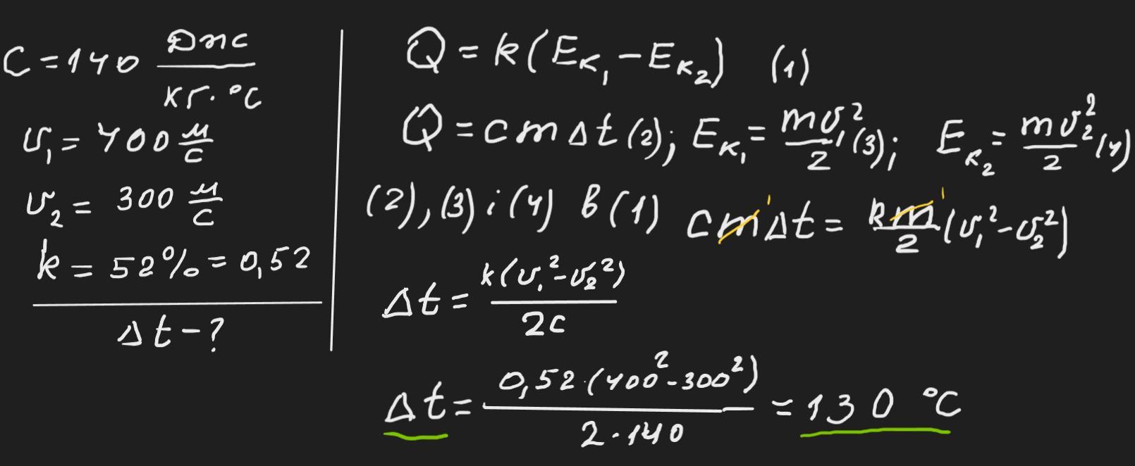
2.3. Свинцева кулька, що летіла горизонтально, пробила дошку. Унаслідок цього її швид-
кість зменшилася від 400 до 300 M На скільки градусів нагрілася кулька, якщо 52 %
с
втраченої механічної енергії пішло на її нагрівання? ДАЮ 50 БАЛОВ​

Ответы

Ответ дал: zybkov1950
16

Відповідь: 130 ⁰С

Пояснення:

Приложения:

Ostap8949: А що таке Q=k(Eк1 - Ек2)
zybkov1950: Кількість теплоти Q = 52% від різниці кінетичних енергій
Ostap8949: А це стала формула?
Вас заинтересует