Ответы
Ответ дал:
0
Ответ:
решение смотри на фотографии
Приложения:

Ответ дал:
0
Пошаговое объяснение:
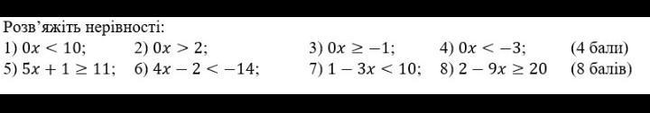
1)
0х < 10
0 < 10
Утверждение верно для любого значения х
х Є R
2)
0x > 2
0 > 2
Утверждение ложно для любого значения х
х Є ∅
3)
0х ≥ -1
0 ≥ -1
Утверждение верно для любого значения х
х Є R
4)
0x < -3
0 < -3
Утверждение ложно для любого значения х
х Є ∅
5)
5х + 1 ≥ 11
5х ≥ 11 - 1
5х ≥ 10
х ≥ 10 : 5
х ≥ 2
х Є [2; +∞)
6)
4х - 2 < -14
4х < -14 + 2
4х < -12
х < -12 : 4
х < -3
х Є (-∞; -3)
7)
1 - 3х < 10
-3х < 10 - 1
-3х < 9
х > 9 : (-3)
х > -3
х Є (-3; +∞)
8)
2 - 9х ≥ 20
-9х ≥ 20 - 2
-9х ≥ 18
х ≤ 18 : (-9)
х ≤ -2
х Є (-∞; -2]
Вас заинтересует
2 года назад
2 года назад
2 года назад
2 года назад
7 лет назад
7 лет назад
9 лет назад