• Предмет: Математика
  • Автор: ishchenkovaleeentina
  • Вопрос задан 3 года назад

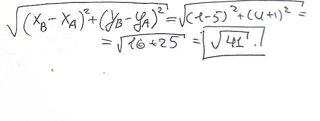
Знайдіть довжину відрізка AB, якщо A(5; -1), B(1; 4). пж с обеспечением​

Ответы

Ответ дал: yevheniiavz
0

дивіться фото...........................

Приложения:

prin4ik: допоможіть з геометрією якщо зможете будь ласка
Вас заинтересует