Ответы
Ответ дал:
1
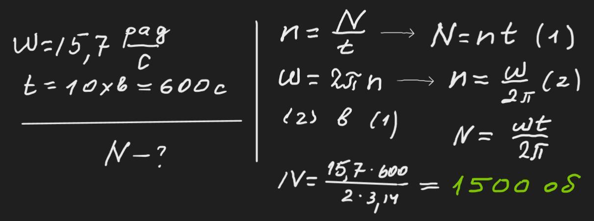
Відповідь: 1500 обертів
Пояснення:
Приложения:

dasaforostana96:
допоможіть мені будь ласка, дуже треба, моє останнє завдання у профілі, буду дуже вдячна!
Вас заинтересует
2 года назад
2 года назад
7 лет назад
9 лет назад