• Предмет: Алгебра
  • Автор: mogilnikovakira88
  • Вопрос задан 3 года назад

50 БАЛЛОВ!!
помогите пожалуйста, как можно скорее и как можно правильнее)​

Приложения:

Mirox921: Тебе это срочно? Я смогу минут через 10 начать писать ответ
mogilnikovakira88: не очень срочно, в течение 2 часов
mogilnikovakira88: успеешь?
Mirox921: Ок
Mirox921: Да

Ответы

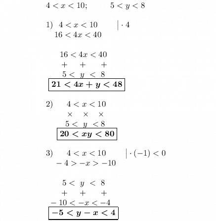
Ответ дал: Mirox921
1

Ответ в прикрепленном фото:

Приложения:

mogilnikovakira88: фак
mogilnikovakira88: а что писать в №3
mogilnikovakira88: во 2
mogilnikovakira88: там в конце 7x-18>-12+4=-11x>-8
mogilnikovakira88: писать = х или нет?
Mirox921: нет не писать
mogilnikovakira88: ладно
mogilnikovakira88: а №4, второе задание, там больше ничего не писать в конце?
kimkarina953: помогите пожалуйста с русским языком пожалуйста умоляюю
kimkarina953: Добрый вечер. Не могли бы мне помочь с литературой пожалуйста умоляюю
Вас заинтересует