• Предмет: Физика
  • Автор: dombrovskaalera8
  • Вопрос задан 3 года назад

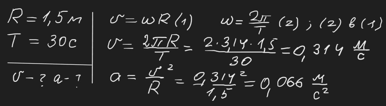
Очень срочно даю 30 балов !!!!4.31. Модель автомобіля рівномірно рухається по колу радіусом 1,5м, здійснюючи повний оберт за 30 с. Визначте швидкість і прискорення руху моделі. ​

Ответы

Ответ дал: zybkov1950
3

Відповідь: ≈ 0,314 м/с       ≈ 0,066 м/с²

Пояснення:

Приложения:

kimkarina953: Добрый день. Не могли бы мне помочь с алгеброй пожалуйста умоляюю
Вас заинтересует