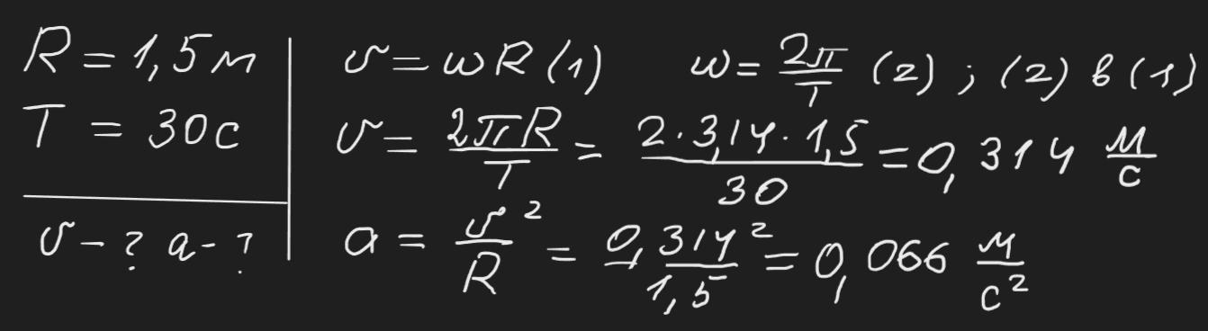
4.31. Модель автомобіля рівномірно рухається по колу р діусом 1,5 м, здійснюючи повний оберт за 30 с. Визн чте швидкість і прискорення руху моделі.
Ответы
Ответ дал:
3
Відповідь: ≈ 0,314 м/с ≈ 0,066 м/с²
Пояснення:
Приложения:

kimkarina953:
Добрый день. Не могли бы мне помочь с алгеброй пожалуйста умоляюю
Вас заинтересует
2 года назад
2 года назад
2 года назад
7 лет назад
9 лет назад