• Предмет: Математика
  • Автор: 1031student
  • Вопрос задан 3 года назад

СРОЧНО ПОЖАЛУЙСТА СДЕЛАТЬ МАТЕМАТИКУ

Приложения:

Ответы

Ответ дал: nurkin887
0

Пошаговое объяснение:

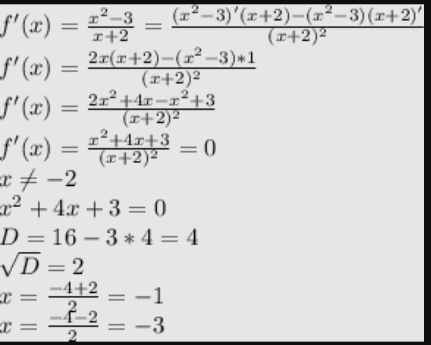
ну понятно?+-:-&&7&-_₽4555566666

Приложения:

1031student: так
1031student: а область визначення
1031student: проміжки спадання і зростання
1031student: множина значень, где это все?
Вас заинтересует