• Предмет: Геометрия
  • Автор: Karpovod1
  • Вопрос задан 10 лет назад

 Найдите

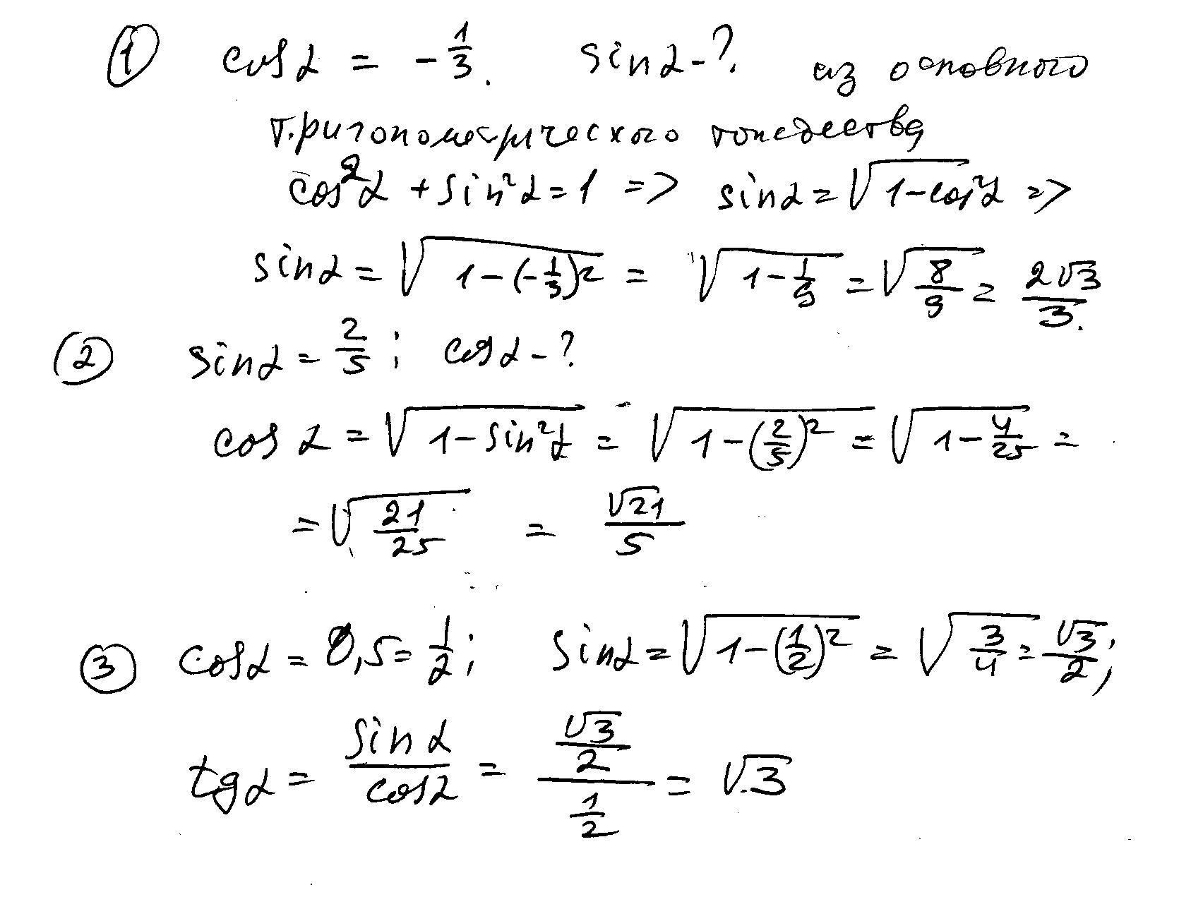
1)Sin альфа , если cos альфа= - 1/3

2)cos альфа если sin альфа = 2/5

3)tg альфа, если cos альфа = 0,5

Ответы

Ответ дал: ужнеужели
0

Найдите

1)Sin альфа , если cos альфа= - 1/3

2)cos альфа если sin альфа = 2/5

3)tg альфа, если cos альфа = 0,5

В первой задаче, ввиду того, что не указано в какой четверти задан угол, я решил, что он острый, (в первой четверти), поэтому синус угла будет положительным. Если угол  задан в третьей или четвертой  четверти, то синус этого угла будет отрицательным . То же самое и для  остальных задач - по конкретному условию определите знак вычисленной функции.

 



Приложения:
Вас заинтересует