• Предмет: Геометрия
  • Автор: ILikePitsaaaaaaa
  • Вопрос задан 3 года назад

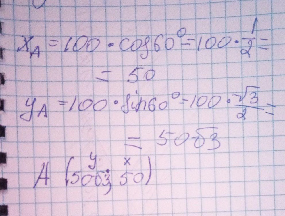
Дан угол a=60, который луч OA образует с положительной полуосью Ox, длинна отрезка OA=100. Определите координаты точки A.

даю 80 баллов​

Ответы

Ответ дал: 10sakura01
1

Ответ:

Надіюсь вам зрозуміло що тут написано

це точно вірна відповідь

Приложения:
Вас заинтересует