• Предмет: Математика
  • Автор: erzatnn66
  • Вопрос задан 3 года назад

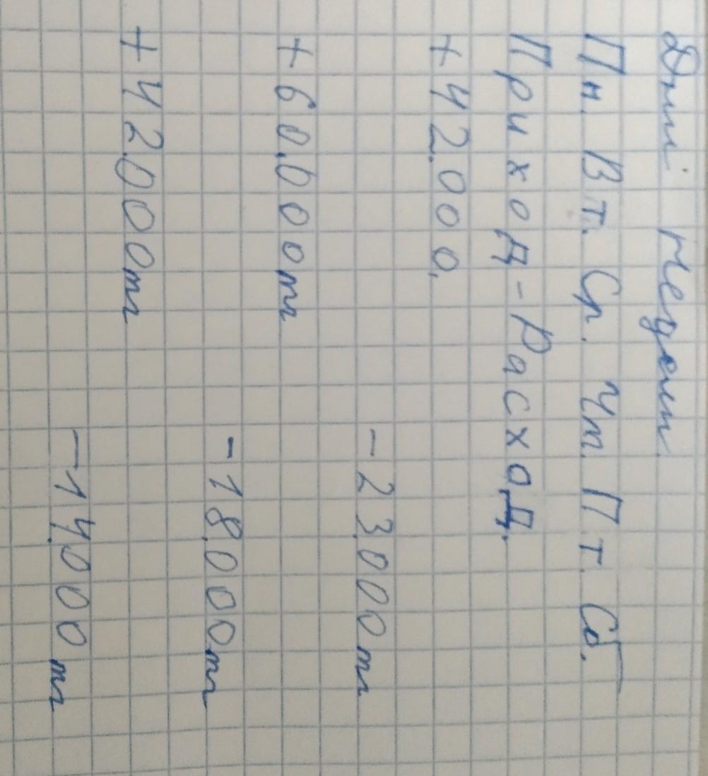
235. фирма в понедельник получила прибыль 42 000 тг, во вторник 23 000 тг убытка, в среду 60 000 тг прибыли, в четверг 18 000 тг убытка, в пятницу - 42 000 тг прибыли, в субботу - 14 000 тг убыт- ка. Заполните бухгалтерскую таблицу. Cp. Чт. Пт. Сб. Дни Недели Приход-Расход (тыс. тг) Пн. Вт.
СРОЧНООО!!!!​

Ответы

Ответ дал: medinasat0125
5

Ответ:

Пошаговое объяснение:

Приложения:

nurlansuluhan: Это точно правильно?
nurlansuluhan: я проверила Всё правильно
Deniskrivenko: спасибо
aselsabr1247: это правильно
aselsabr1247: ??????
Ответ дал: nurlansuluhan
4

Ответ:

наверное Всё правильно

Приложения:

aselsabr1247: фууу
aselsabr1247: ты лооооох
aselsabr1247: не привильно
baronetsoksana89: спс
baronetsoksana89: aselsabr1248 ты мог не обзывать у тебя 0 ответов.
Вас заинтересует