• Предмет: Физика
  • Автор: lp5674158
  • Вопрос задан 3 года назад

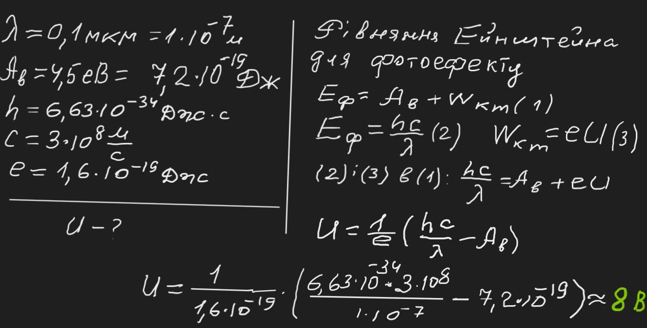
Допоможіть дуже потрібно. Якою найменшою напругою повністю утримуються електрони, вирвані
ультрафіолетовими променями з довжиною хвилі 0,1 мкм із вольфрамової
пластинки? Робота виходу для вольфраму дорівнює 4,5 еВ. Відповідь повинна бути 8

Ответы

Ответ дал: zybkov1950
1

Відповідь: ≈ 8 В

Пояснення:

Приложения:
Вас заинтересует