Ответы
Ответ дал:
0
Ответ дал:
0
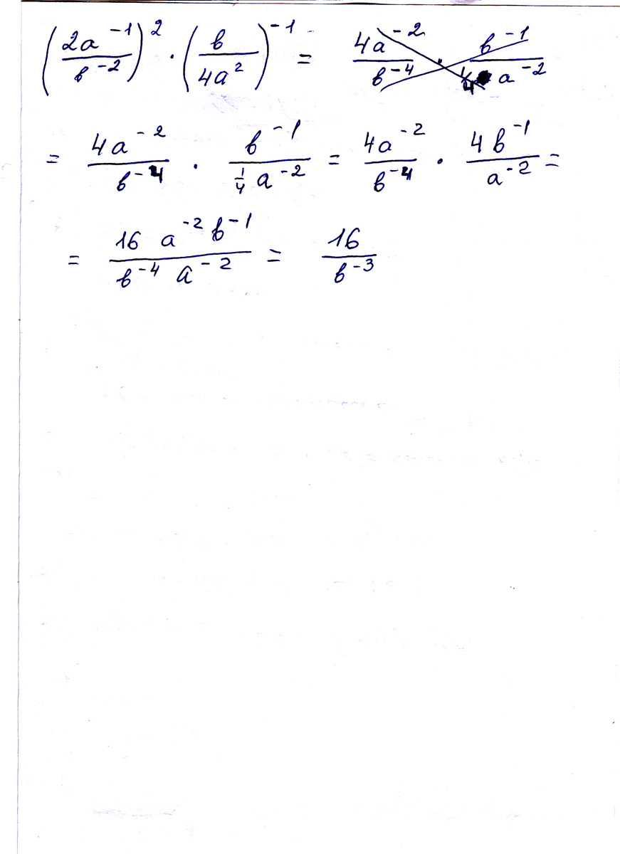
Ответ на вложенном файле. По-моему это так.
Да, забыла, можно поднять В(-3) степени наверх дроби с изменением знака степени, т.е. ответ можно выразить просто 16b в кубе.
Удачи!
Приложения:

Вас заинтересует
2 года назад
2 года назад
8 лет назад
10 лет назад
10 лет назад
10 лет назад