• Предмет: Алгебра
  • Автор: kirilenkoola46
  • Вопрос задан 3 года назад

ПОМОГИТЕ ПОЖАЛУЙСТА,ДАЮ 20 БАЛЛОВ

НЕ ЗНАЕТЕ,НЕ ПИШИТЕ,А ТО КИНУ ЖАЛОБУ!!!!!

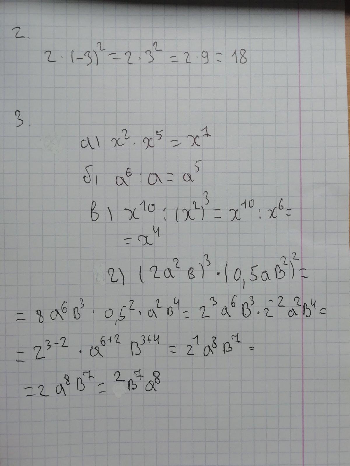
Приложения:

Mirox921: 2 і 3 робити?
kirilenkoola46: Да

Ответы

Ответ дал: Mirox921
2

Ответ в прикрепленном фото:

Приложения:

kirilenkoola46: Спасибо большое
Mirox921: Можно лучший ответ?
kimkarina953: Добрый день. Не могли бы мне помочь с русским языком пожалуйста умоляюю
Вас заинтересует