• Предмет: Математика
  • Автор: mariyalopushenko09
  • Вопрос задан 3 года назад

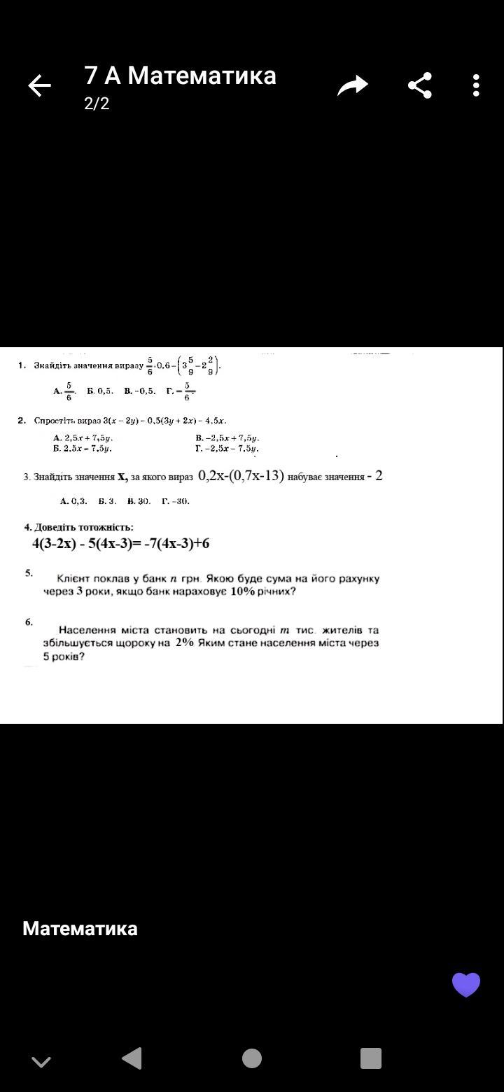
Помогите пожалуйста решить 5ю задачу ! Дам много балов "80"

Приложения:

Ответы

Ответ дал: angelinazelenuk3
1

Ответ:

(х+3)=10% а решение уже легко

Вас заинтересует