• Предмет: Алгебра
  • Автор: sunn1y
  • Вопрос задан 3 года назад

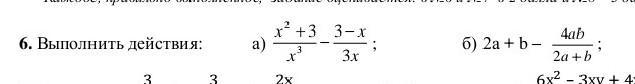
ребята, пожалуйста, помогите решить!!!​

Приложения:

Ответы

Ответ дал: anna4490
0

Ответ:

а)х‐¹+3-3+2х=х‐1+2х

Объяснение:

Понятно ?

Вас заинтересует